Apakah pistol air dalam sistem pemanasan? Penyangga hidraulik dan suhu, yang menyediakan proses korelasi suhu bekalan / pulangan dan aliran penyejuk maksimum yang diatur, disebut anak panah hidraulik. Sebuah artikel mengenai topik: "Hydrostrelka: prinsip operasi, tujuan dan pengiraan" mengungkapkan inti pati pemisahan hidraulik dari litar pemanasan.
Kandungan
- 1 Mengapa saya memerlukan anak panah hidraulik dalam sistem pemanasan?
- 2 Peranti anak panah air pemanasan
- 3 Fungsi tambahan anak panah hidraulik
- 4 Prinsip operasi anak panah hidraulik dalam sistem pemanasan rumah persendirian
- 5 Kaedah untuk mengira anak panah hidraulik dalam sistem pemanasan rumah persendirian
- 6 Menggabungkan manifold pemanasan dengan anak panah hidraulik
Mengapa saya memerlukan anak panah hidraulik dalam sistem pemanasan?
Sangat mudah untuk menjelaskan mengapa pistol air diperlukan untuk pemanasan. Proses ketidakseimbangan bekalan haba sudah biasa dilakukan oleh pemilik rumah persendirian. Dandang moden mempunyai litar yang isipadunya lebih kecil daripada aliran peredaran pengguna. Operasi panah hidraulik pemanasan memungkinkan untuk memisahkan litar hidraulik penjana haba dari litar sekunder, meningkatkan kebolehpercayaan dan kualiti sistem.
Jawapan kepada soalan: "Apa gunanya anak panah hidraulik dalam sistem pemanasan?" Adakah senarai kelebihan pemanasan dengan pemisah terma hidraulik:
- pemisah adalah prasyarat bagi pengeluar peralatan untuk menjamin penyelenggaraan dandang dengan kapasiti 50 kW atau lebih, atau penjana haba dengan penukar haba besi tuang;
- unit menyediakan aliran maksimum dengan aliran lamina penyejuk, mengekalkan keseimbangan hidraulik dan suhu sistem pemanasan;
- sambungan selari anak panah air pemanasan dan litar pengguna menghasilkan kerugian tekanan, produktiviti dan tenaga haba yang minimum;
- susunan lutut paip bekalan-balik memastikan kecerunan suhu litar sekunder;

Gambarajah aliran penyejuk di manifold dengan anak panah hidraulik
- pemilihan dan pengiraan optimum anak panah hidraulik untuk pemanasan melindungi dandang dari perbezaan suhu aliran balik, melindungi peralatan daripada kejutan haba, menyamakan jumlah peredaran aliran air di litar primer dan sekunder;
- unit meningkatkan kecekapan dandang, membolehkan peredaran sekunder bahagian penyejuk dalam litar dandang, menjimatkan elektrik dan bahan bakar;
- campuran mengekalkan jumlah air dandang yang tetap;
- sekiranya berlaku kecemasan, pemisah mengimbangi defisit aliran di litar sekunder;
- pemisah berongga mengurangkan kesan pam dengan daya kW yang berbeza pada litar sekunder dan dandang;
- fungsi tambahan pemisah hidraulik - mengurangkan rintangan hidraulik, mewujudkan keadaan untuk pemisahan gas terlarut dan enapcemar.

Dalam sistem pemanasan berbilang litar, penggunaan anak panah hidraulik adalah wajib untuk operasi seimbang
Prinsip operasi panah pemanasan memungkinkan menstabilkan proses hidrodinamik dalam sistem. Penyingkiran kekotoran mekanikal dari penyejuk tepat pada masanya akan memperpanjang jangka hayat pam, injap, meter, sensor, alat pemanasan. Dengan membahagi aliran (litar penjana haba dan litar pengguna bebas), anak panah hidraulik memastikan penggunaan haba pembakaran bahan api secara maksimum.
Peranti anak panah air pemanasan
Pemisah hidraulik adalah kapal berongga menegak yang diperbuat daripada paip berdiameter besar (profil persegi) dengan palam elips di hujungnya. Dimensi pemisah ditentukan oleh kuasa (kW) dandang dan bergantung pada bilangan dan isipadu litar.
Badan logam berat dipasang pada kaki sokongan untuk mengelakkan tekanan garis pada saluran paip. Peranti padat dipasang ke dinding, diletakkan pada pendakap.
Paip cabang anak panah hidraulik dan saluran paip pemanasan disambungkan menggunakan bebibir atau benang.
Injap pengudaraan udara automatik terletak di bahagian atas badan. Sedimen dikeluarkan melalui injap atau injap khas, yang dipotong dari bawah.
Bahan untuk pembuatan anak panah hidraulik adalah karbon rendah atau keluli tahan karat, tembaga, polipropilena. Tubuh dirawat dengan sebatian anti karat, ditutup dengan penebat haba.
Penting! Model polimer digunakan dalam sistem yang memanaskan dandang dengan kapasiti 13 hingga 35 kW. Header kehilangan rendah yang diperbuat daripada polipropilena tidak digunakan untuk penjana haba yang menggunakan bahan api pepejal. Membuat anak panah hidrostatik dengan tangan anda sendiri dari propilena memerlukan pengalaman dan kemahiran dalam bekerja dengan tukang kunci profesional dan alat kuasa tangan.
Fungsi tambahan anak panah hidraulik
Model maju menggabungkan fungsi pemisah, pengatur suhu dan pemisah. Injap termostatik memberikan kecerunan suhu pada litar sekunder. Pembebasan oksigen terlarut dari penyejuk mengurangkan risiko hakisan permukaan dalaman peralatan. Mengeluarkan zarah terampai dari aliran memanjangkan hayat pendesak dan galas pam edaran.
Foto menunjukkan model gunting air untuk pemanas:
Partisi berlubang mendatar membahagi isipadu dalaman menjadi separuh. Aliran bekalan dan pulangan menyentuh di zon "titik sifar" dan meluncur ke arah yang berbeza tanpa menimbulkan rintangan tambahan.
Di bahagian atas, di zon suhu tinggi, terdapat plat deerasi berliang menegak. Pengumpul enapcemar dan perangkap magnet (magnesium anoda) terletak di bahagian bawah perumahan.
Pilihan reka bentuk untuk anak panah hidraulik: tolok tekanan, sensor suhu, injap termostat dan saluran untuk menghidupkan sistem semasa permulaan. Peralatan yang kompleks memerlukan penyesuaian, pemeriksaan dan penyelenggaraan berkala.
Prinsip operasi anak panah hidraulik dalam sistem pemanasan rumah persendirian
Aliran penyejuk melewati pemisah dengan kelajuan 0.1-0.2 m / s. Pam dandang mempercepat air panas hingga 0,7-0,9 m / s. Had kelajuan yang disyorkan memberikan idea mengenai apa gun air untuk pemanasan.
Perubahan dalam volume dan arah pergerakan membantutkan kelajuan aliran air dengan kehilangan minimum tenaga haba dalam sistem. Pergerakan aliran lamina membawa kepada kenyataan bahawa praktikalnya tidak ada rintangan hidraulik di dalam perumahan. Zon penyangga memisahkan dandang dan litar pengguna. Pam setiap litar pemanasan beroperasi secara autonomi, tanpa mengganggu keseimbangan hidraulik.
Litar anak panah hidro untuk pemanasan (mod operasi):
- Mod operasi netral pemisah hidraulik, di mana kepala, kadar aliran, suhu dan tenaga haba bekalan - garis pengembalian sesuai dengan parameter reka bentuk sistem. Peralatan pam mempunyai kapasiti total yang mencukupi. Pergerakan aliran laminar pada anak panah hidraulik memastikan proses penipisan dan pemendapan zarah terampai.
- Gambar rajah mencerminkan prinsip operasi panah pemanasan, di mana dandang tidak mempunyai daya yang cukup untuk memberikan aliran dalam litar sekunder. Defisit aliran membawa kepada campuran pembawa haba sejuk. Perbezaan suhu aliran / pengembalian membawa kepada pengaktifan sensor suhu. Automasi akan membawa penjana haba ke mod pembakaran maksimum, namun pengguna tidak menerima haba yang mencukupi. Sistem pemanasan tidak seimbang dan terdapat risiko strok panas.
- Aliran volumetrik litar primer lebih besar daripada kadar aliran medium pemanasan litar bergantung. Pilihan di mana dandang beroperasi dalam mod optimum. Apabila unit dinyalakan atau pam litar sekunder dimatikan secara selari, penyejuk beredar melalui anak panah hidraulik di sepanjang litar primer (kecil). Suhu kembali, yang memasuki dandang, diratakan oleh campuran dari bekalan. Jumlah penyejuk yang mencukupi dibekalkan kepada pengguna.

Aliran volumetrik litar primer lebih besar daripada kadar aliran medium pemanasan litar bergantung - dandang beroperasi dalam mod optimum
Prasyarat: kapasiti pam edaran litar utama (dandang) adalah 10% lebih tinggi daripada jumlah maksimum pam maksimum dalam litar sekunder.
Kaedah untuk mengira anak panah hidraulik dalam sistem pemanasan rumah persendirian
Bagaimana cara mengira anak panah air sistem pemanasan rumah persendirian? Anda boleh mengira dimensi yang diperlukan menggunakan formula atau memilih diameter menggunakan peraturan "3D".
- Rumus menentukan diameter (D) mengikut kapasiti aliran maksimum header kehilangan rendah (pengiraan mengikut data pasport dandang):
- Rumus menentukan diameter anak panah hidraulik dengan kuasa penjana haba. Aliran / pulangan perbezaan suhu ΔT - 10 ° C:
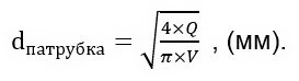
- Diameter paip cawangan yang memasuki anak panah hidraulik atau manifold pengedaran:
Penetapan | Menyahkod simbol | unit ukuran |
D | Diameter badan anak panah hidraulik | mm |
d | Diameter muncung | mm |
P | Kuasa maksimum yang dimiliki dandang (data pasport dandang) | kWh |
G | Aliran maksimum (throughput, flow rate) melalui pemisah hidraulik setiap jam | m3/jam |
π | Nilai berterusan (3.14) | |
ω | Halaju menegak maksimum pembawa haba melalui pemisah (0.2) | m / saat |
ΔT | Bekalan - perbezaan suhu pulangan (data pasport dandang) | ° C |
C | Kapasiti haba air (unit relatif) | W / (kg ° C) |
V | Halaju penyejuk melalui litar sekunder | Cik |
Q | Laju aliran maksimum di litar pengguna | m3/ j |
Penting! Rumus yang mana pengiraan panah hidraulik untuk pemanasan dibuat diperoleh secara empirik. Diameter paip masuk ke pemisah hidraulik sepadan dengan diameter saluran keluar dandang.
- Penentuan parameter anak panah hidraulik dengan kaedah praktikal:
Ukuran anggaran untuk pembahagi kecil dipilih mengikut diameter muncung masuk (outlet). Jarak antara bor sekurang-kurangnya 10 diameter tercekik. Ketinggian badan jauh lebih besar daripada garis pusatnya.
Crankset untuk pemanasan digunakan dalam pemilihan pemasangan besar. Menurut "peraturan 3d", diameter badan adalah tiga diameter muncung. Jarak 3d menentukan bahagian struktur.
- Taburan batang sepanjang ketinggian lajur pemisah:
Sekiranya sistem tidak mempunyai manifold pengagihan, maka jumlah pengikat ke pemisah akan bertambah. Saluran paip yang menghubungkan litar pertama (dandang) dengan anak panah hidraulik diedarkan pada ketinggian. Kaedah ini membolehkan anda menyesuaikan kecerunan suhu dari masa ke masa. Pemenuhan syarat itu diperlukan untuk pemilihan penyejuk berkualiti tinggi oleh litar sekunder.
Menggabungkan manifold pemanasan dengan anak panah hidraulik
Rumah-rumah kecil dipanaskan oleh dandang dengan pam terbina dalam. Litar sekunder disambungkan ke dandang melalui anak panah hidraulik. Garis besar bangunan kediaman bebas dengan kawasan yang luas (dari 150 m2) dihubungkan melalui sisir, pemisah hidraulik akan membebankan.
Artikel berkaitan:
|
Manifold pengedaran dipasang selepas anak panah hidraulik. Peranti ini terdiri daripada dua bahagian bebas yang menghubungkan jumper. Mengikut bilangan litar sekunder, paip yang terletak berpasangan dipotong.
Sikat pengedar memudahkan operasi dan penyelenggaraan peralatan. Injap tutup dan kawalan sistem bekalan haba rumah terletak di satu tempat. Peningkatan diameter pengumpul memastikan aliran genap antara litar individu.
Splitter dan coplanar manifold membentuk modul hidraulik. Unit ringkas sesuai untuk keadaan bilik dandang kecil yang sempit.
Outlet pemasangan disediakan untuk mengikat dengan tanda bintang:
- litar pemanasan lantai tekanan rendah disambungkan dari bawah;
- litar radiator tekanan tinggi - dari atas;
- penukar haba berada di sisi, di seberang dari anak panah hidraulik.
Rajah menunjukkan anak panah hidraulik dengan manifold. Skim pembuatan memperuntukkan pemasangan injap pengimbang antara manifold bekalan / pulangan:
Injap kawalan memberikan aliran dan tekanan maksimum pada litar yang jauh dari suis hidraulik. Mengimbangi mengurangkan proses pendikit aliran yang tidak betul, memungkinkan untuk mencapai pengiraan penyejuk penyejuk.
Penting! Sistem pemanasan autonomi merujuk kepada sistem yang beroperasi dengan suhu tinggi media di bawah tekanan (termasuk anak panah hidraulik untuk memanaskan rumah persendirian).
Pakar yang mempunyai pengetahuan yang mencukupi dalam bidang teknik haba, pengalaman dan kemahiran kerja (kimpalan gas elektrik, paip, kerja dengan alat kuasa tangan) boleh membuat panah pemanasan dengan tangannya sendiri. Banyak laman internet menawarkan arahan langkah demi langkah tentang cara membuat anak panah air untuk pemanasan, video juga dapat membantu dalam proses ini.
Pengetahuan teoritis akan membantu menyusun gambar dan gambar senapang pemanas air, membuat pesanan peralatan secara individu dalam organisasi khusus, untuk mengawal kerja kontraktor. Mempercayakan pembuatan komponen kritikal sistem pemanasan kepada bukan profesional adalah berbahaya bagi kehidupan dan kesihatan. Perlu diingat bahawa peralatan yang rosak akibat kesalahan pemiliknya tidak perlu diperbaiki jaminan dan tidak dapat dikembalikan.