Elemen utama stesen pam autonomi adalah pam, tangki simpanan, suis tekanan untuk penumpuk hidraulik dan injap periksa... Unit tekanan mengepam sejumlah air ke dalam rangkaian. Hydroaccumulator terkumpul dan mengekalkan tekanan berterusan untuk membekalkan air kepada pengguna. Unit kawalan memastikan kitaran operasi peralatan sistem bekalan air sejuk yang stabil. Mari kita perhatikan dengan lebih dekat di mana ia digunakan dan bagaimana memasang penumpuk hidraulik dan suis tekanan.

Suis tekanan air mengatur pengaktifan dan mematikan peranti yang membekalkan air ke tangki hidraulik
Kandungan
Hydroaccumulator dalam sistem bekalan air sejuk
Sambungan langsung pam selam atau permukaan menyebabkan bekalan air tidak stabil. Unit tekanan kering dengan penggunaan air yang minimum. Kehadiran penumpuk graviti atau pneumatik dalam sistem tidak memerlukan operasi berterusan penekan tekanan utama. Tangki simpanan mengekalkan penggunaan air yang berterusan untuk keperluan isi rumah dan minuman. Bekalan air mengurangkan pergantungan bekalan air individu terhadap faktor luaran.
Reka bentuk graviti penumpuk adalah tangki atmosfera dengan sensor tahap apungan. Tangki terbuka dipasang di loteng rumah, di atas titik pengambilan air. Kepala dalam sistem membuat berat lajur cecair. Pam dikendalikan oleh mekanisme apungan atau sensor aras.
Akumulator hidraulik moden untuk bekalan air autonomi beroperasi kerana tekanan berlebihan di ruang udara. Prinsip operasi penumpuk pneumatik didasarkan pada interaksi udara termampat dan air. Pam mengepam air ke dalam mentol getah, yang terletak di dalam casing. Isi padu ruang udara menurun dan tekanan meningkat. Dalam selang waktu antara unit dihidupkan, udara mendorong bekalan air dari membran ke dalam rangkaian pengguna.
Air tidak bersentuhan dengan dinding dalaman bekas yang ditutup. Ruang udara memisahkan membran dari perumahan logam. Sekiranya penumpuk digunakan dalam sistem bekalan air minum, maka bahan membrannya adalah getah neutral kimia. Semasa menggunakan tangki simpanan dalam sistem pemanasan atau bekalan air panas, membran dengan ketahanan tinggi terhadap suhu tinggi digunakan.
Terdapat model tangki simpanan pneumatik menegak dan mendatar dengan pelbagai kapasiti.Gambarajah sambungan penumpuk menentukan jenis pam dan model penumpuk. Tangki mendatar digunakan untuk unit permukaan terpencil. Blower tekanan dipasang di platform, di bahagian atas badan simpanan (iaitu silinder terletak di bawah pam pemula diri).
Artikel berkaitan:
Peraturan untuk mengatur suis tekanan air untuk pam. Setelah membiasakan diri dengan peraturan mudah untuk menyesuaikan suis tekanan air, serta kehalusan pengaturan, anda dapat melakukan pekerjaan itu sendiri.
Stesen pam dengan unit tenggelam dilengkapi dengan penumpuk menegak. Penumpuk terletak di atas tahap pemasangan pam dalam.
Isi tangki simpanan hidropneumatic bergantung pada penggunaan air setiap jam, daya dan kekerapan pengaktifan pam, dan ketinggian sistem saluran paip. Semakin tinggi kadar aliran air dan semakin rendah penurunan tekanan untuk menghidupkan / mematikan pam, semakin besar kapasiti penumpuk.
Elemen konstruktif penumpuk:
- sarung logam tertutup rapat yang dirancang untuk berfungsi di bawah tekanan (1.5 ÷ 6 atmosfera);
- membran elastik - bekas dalaman untuk bekalan air;
- bebibir dengan injap untuk mengikat membran ke badan dan mengisinya dengan air;
- puting untuk mengepam udara ke ruang udara silinder;
- injap untuk mengeluarkan udara dari ruang air (untuk penumpuk dengan isipadu melebihi 100 liter);
- pendakap untuk memasang kapal kecil di dinding atau kaki sokongan, dengan pelekap getah pelekap untuk model yang lebih besar;
- set tangki mendatar termasuk pendakap sokongan untuk pemasangan bersama pam permukaan dengan penumpuk hidraulik dan suis tekanan.
Penting! Pengisian awal silinder hidraulik akumulator dengan air dilakukan secara beransur-ansur agar tidak merosakkan integriti pir, kerana selepas penyimpanan, dinding membran getah biasanya melekat bersama.
Pengiraan isipadu penumpuk
Kaedah untuk memilih penumpuk hidraulik bertujuan untuk rumah individu yang menggunakan sejumlah besar air (pembetungan, bilik mandi, pancuran mandian, beberapa pengadun, bidet, mesin basuh dan mesin basuh pinggan mangkuk). Jumlah pekali penggunaan dan penggunaan air maksimum untuk keperluan isi rumah dan minum ditentukan oleh bilangan titik air. Isipadu penumpuk ditentukan oleh formula:
V ialah isipadu penumpuk, l;
Qmax adalah penggunaan air maksimum untuk keperluan isi rumah dan minum, l / min;
a adalah bilangan sistem yang dimulakan setiap jam (nilai yang disyorkan adalah 10 permulaan);
Рmin - tekanan pengaktifan pam, atm;
Pmax - tekanan penutupan pam, atm;
Ro adalah tekanan ruang udara penumpuk, atm.

Struktur bekalan air terdiri daripada: 1 - hidroakumulator; 2 - pam; 3 - suis tekanan; 4 injap periksa; 5 - bekalan kuasa
Pemasangan bekalan air standard untuk rumah kecil dengan kehidupan bermusim, sebagai peraturan, dilengkapi dengan penumpuk hidraulik dengan kapasiti 24 liter. Untuk rumah dengan lebih daripada tiga titik penghuraian, pilih pemanduan 50 liter. Lebih-lebih lagi, dalam pasport teknikal peralatan, pengeluar menunjukkan jumlah keseluruhan silinder (termasuk ruang udara).
Menyelaraskan tekanan operasi penumpuk
Untuk bekalan air rumah satu tingkat, tekanan satu suasana dianggap mencukupi. Namun, harus diingat bahawa tekanan udara di ruang udara mestilah lebih besar daripada tekanan statik dari titik penyadapan tertinggi.
Tekanan tutup maksimum bergantung pada ciri kepala pam. Tekanan yang diberikan oleh pam dibahagi dengan 10 sesuai dengan ambang tindak balas atas untuk sistem bekalan air automatik.Pembetulan dibuat untuk rintangan hidraulik linier, voltan sebenar rangkaian elektrik, keadaan teknikal peralatan dan ketinggian sistem bekalan air di rumah.
Perbezaan yang disyorkan antara tekanan pada dan mematikan pam untuk bekalan air autonomi ialah 1.0 ÷ 1.5 atmosfera. Meningkatkan pengaturan kilang (1.5 atmosfera) akan mengurangkan jumlah simpanan dan meningkatkan kepala dalam sistem. Tekanan tinggi bekalan air sejuk meningkatkan penggunaan, menyebabkan penggunaan sumber tenaga tidak rasional.
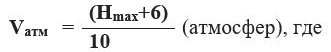
Formula untuk mengira tekanan yang diperlukan dalam penumpuk:
Hmaks - ketinggian dalam meter dari garis pusat penumpuk ke titik penarikan air atas (untuk rumah persendirian dua tingkat 6 ÷ 7 meter).
Tekanan udara di ruang udara tangki peredam diperiksa dan disesuaikan sebelum pemasangan, jika terjadi kegagalan pengaturan atau pelanggaran mod operasi bekalan air. Semasa penyesuaian, kuasa stesen pam terputus dari rangkaian, air disalirkan dari penumpuk.
Injap ruang udara pneumatik terletak di bawah penutup hiasan pada badan tangki. Pematuhan atau penyimpangan tekanan dari parameter operasi yang ditentukan ditentukan menggunakan tolok tekanan yang disambungkan ke kili. Menurut hasil pengukuran, udara berlebihan dikeluarkan atau tekanan ruang udara dipompa dengan pam mobil.
Sekiranya penyesuaian parameter operasi akumulator tidak membawa hasil yang diinginkan, maka periksa tetapan suis tekanan.
Peranti suis tekanan untuk penumpuk hidraulik
Suis tekanan mengawal operasi pam dan mengatur pengisian penumpuk pneumohidraulik. Peranti ini mengintegrasikan, mengawal dan mengatur operasi peralatan sistem bekalan air sejuk.
Unit kawalan pam kelihatan seperti kotak plastik kecil. Peranti dipasang di pintu masuk ke tangki simpanan. Suis tekanan untuk penumpuk terdiri daripada bahagian mekanikal dan elektrik.
Elemen reka bentuk suis tekanan:
- sarung plastik (penutup dengan skru dan alas);
- penutup membran logam (dengan kacang untuk sambungan ke saluran paip);
- membran getah;
- omboh tembaga;
- dua kancing dengan benang dan kacang;
- mata air penyesuaian yang besar dan kecil;
- plat asas logam;
- platform yang diartikulasikan;
- pemasangan hubungan elektrik dengan spring rata;
- pengapit kabel;
- blok terminal.
Mekanisme penyesuaian spring dan kotak sambungan dilindungi oleh penutup plastik. Plat asas logam disokong di bawahnya oleh sarung plastik. Pangkalan memisahkan elemen kerja (diafragma dengan piston) dari penggerak (platform artikulasi, dua pegas penyesuaian pada kancing dan unit hubungan elektrik).
Bahagian elektrik suis tekanan air adalah geganti dua kenalan untuk menukar litar elektrik. Kaki pemasangan kenalan elektrik terjepit di antara plat asas logam dan perumahan plastik. Dua penjepit untuk memasang kabel (dari rangkaian dan saluran bekalan kuasa pam) dan sambungan relay ke akumulator terletak di dasar casing plastik.
Diameter salur masuk standard ¼ ”. Dari sisi peranti, bahagian dalam kacang yang diikat pada penyesuai dibatasi oleh membran getah. Pergerakan membran elastik secara berulang disampaikan kepada omboh tembaga, yang memindahkan daya ke platform logam artikulasi.
Di atas, di pinggir platform yang bergerak, pegas besar dan kecil ditekan melawan kekuatan omboh. Nisbah mampatan pegas besar mengawal semasa pam dihidupkan.Julat ubah bentuk pegas kecil memastikan penutupan unit tekanan.
Cara untuk menyambungkan suis tekanan ke penumpuk hidraulik
Terdapat skema untuk menghubungkan suis tekanan ke penumpuk hidraulik untuk air dan elektrik.
Bagaimana cara menyambungkan suis tekanan air?
Paip cabang penghubung suis tekanan suis tekanan penumpuk ke saluran paip dipasang dengan ketat. Peranti dipasang dipasang. Sebelum memulakan pemasangan, pastikan ruang yang cukup untuk perumahan berputar ketika memasang suis tekanan.
Peranti disalurkan ke benang yang dipotong ke saluran paip secara berasingan atau dipasang terus pada paip keluar akumulator melalui pemasangan khas. Port lima arah membolehkan alat penguji dipasang di sebelah kawalan pam.
Bagaimana cara menyambungkan suis tekanan ke penumpuk hidraulik secara elektrik?
Pengaktifan langsung suis tekanan dibuat dari rangkaian 220V, dengan syarat arus operasi pam tidak melebihi 10 Amper.
Sebelum menyambungkan kabel, lepaskan penutup plastik pelindung dari peranti. Kabel elektrik saluran bekalan atau pam dibawa ke soket yang sesuai. Di luar, wayar dipasang dengan mur dengan cincin plastik kelim. Penunjukan kumpulan kontak ditunjukkan pada badan. Hujung kabel terbahagi kepada teras. Fasa, neutral, pembumian dilucutkan dari jalinan penebat dan disambungkan ke terminal kumpulan kenalan.
Penting!Kerja pemasangan dan penyesuaian elektrik dilakukan dengan peralatan yang terputus dari rangkaian. Bahagian elektrik dihubungkan dengan mematuhi peraturan perundangan untuk operasi teknikal dan langkah keselamatan di pemasangan elektrik.
Peraturan untuk mengatur suis tekanan untuk penumpuk hidraulik
Relay mengawal tekanan minimum dan maksimum di tangki simpanan, mengekalkan perbezaan tekanan ketika pam dihidupkan / dimatikan. Julat nilai tetapan relay yang dibenarkan bergantung pada kadar aliran setiap jam dan kuasa pam.
Ciri tetapan kilang ditunjukkan dalam lembaran data produk. Nilai standard untuk pengaturan suis tekanan untuk sistem bekalan air ialah 1.0 ÷ 5.0 atmosfera. Tekanan permulaan ialah 1.5 atmosfera. Julat motor pam adalah 2.5 atmosfera. Tekanan penutupan maksimum unit ialah 5.0 atmosfera.
Sekiranya tetapan kilang tidak terkini atau pemasangannya gagal, maka pengaturan dan penyesuaian suis tekanan air dilakukan secara bebas, menggunakan manometer. Penguji dipasang pada manifold penumpuk. Pembetulan dibuat mengikut bacaan tolok tekanan setelah pam dimatikan. Penurunan tekanan dibuat dengan membuka keran di titik lepas landas air yang paling dekat dengan penumpuk.
Suis tekanan akumulator disesuaikan di bawah tekanan, tanpa memutuskan stesen pam dari bekalan kuasa. Pam mesti mengisi tangki simpanan dan menekan rangkaian. Apabila geganti mengaktifkan dan mematikan motor unit, perlu melepaskan penutup perumahan plastik dan melepaskan sepenuhnya ketegangan mekanisme pegas kecil.
Bagaimana cara mengatur suis tekanan air ke tekanan minimum untuk memulakan pam?
Menetapkan spring penyesuaian yang besar:
- kacang pengapit diputar mengikut arah jam untuk meningkatkan tekanan permulaan;
- melonggarkan sesak - mengurangkan tekanan pengaktifan geganti dan menghidupkan enjin;
- untuk memeriksa hasil penyesuaian, buka keran air dan toskan airnya sehingga pam dihidupkan.
Bagaimana cara mengatur suis tekanan penumpuk mengikut tekanan penutupan pam?
Menetapkan spring penyesuaian kecil:
- kacang pada pin pegas kecil diketatkan untuk meningkatkan perbezaan tekanan;
- melonggarkan sesak membolehkan anda menurunkan tekanan mematikan enjin;
- hasil pembetulan diperiksa dengan menguji pam.
Sekiranya bacaan pengukur tekanan sepadan dengan nilai yang diperlukan semasa mesin dihidupkan / dimatikan, penyesuaian selesai. Sekiranya tidak dapat menyesuaikan peranti operasi sendiri, gunakan perkhidmatan pakar yang berkelayakan atau beli peranti baru. Sekiranya anda memutuskan untuk membeli suis tekanan untuk penumpuk hidraulik, maka perhatikan keserasian kerja dengan peralatan mengepam dan kaedah menyambungkan peranti ke bekalan kuasa.
Penting! Peningkatan nilai permulaan tetapan kilang suis tekanan akumulator (di atas 1.5 atmosfera) menimbulkan beban kritikal pada diafragma penumpuk. Julat operasi pam diubah dengan mengambil kira tekanan maksimum yang dibenarkan untuk kelengkapan air. Tekanan utama yang dirancang cincin pengedap pengadun dan paip adalah 6 atmosfera.
Tekanan udara ruang udara penumpuk tidak mempengaruhi operasi suis tekanan dan stesen pam secara keseluruhan. Kekurangan atau kekurangan udara menyebabkan peregangan diafragma yang berlebihan dan pengaktifan pam setiap kali air diambil dari sistem. Peningkatan tekanan udara yang berlebihan mengurangkan isipadu air dalam membran dan selang tindak balas kilang tekanan. Menghidupkan dan mematikan pam dengan kerap mengurangkan jangka hayat unit.
Operasi normal stesen pam boleh dilakukan dengan syarat tekanan ruang udara akumulator adalah 10% lebih rendah daripada tekanan pengaktifan pam. Pengaturan dan penyesuaian suis tekanan dan penumpuk yang kompeten akan memastikan bahawa pam beroperasi tanpa beban berlebihan, dan pengisian tangki simpanan dengan air secara optimum. Pendekatan bersepadu untuk mengatur dan menyesuaikan peralatan akan memanjangkan jangka hayat membran dan meningkatkan kebolehpercayaan sistem bekalan air autonomi.